Skip to product information
1 of 5

Exam Success Prep

Test bank Pharmacology and the Nursing Process 9th Edition by Lilley

Test bank Pharmacology and the Nursing Process 9th Edition by Lilley

Regular price $14.00 USD
Regular price $17.00 USD Sale price $14.00 USD
Sale Sold out
Shipping calculated at checkout.
Quantity

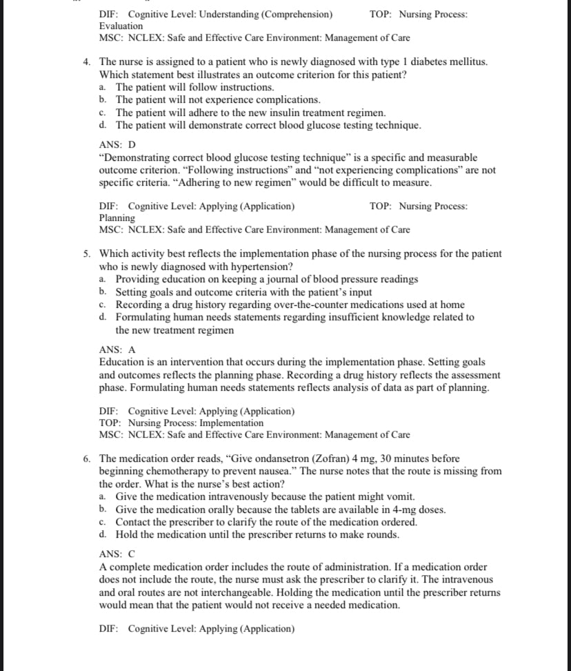
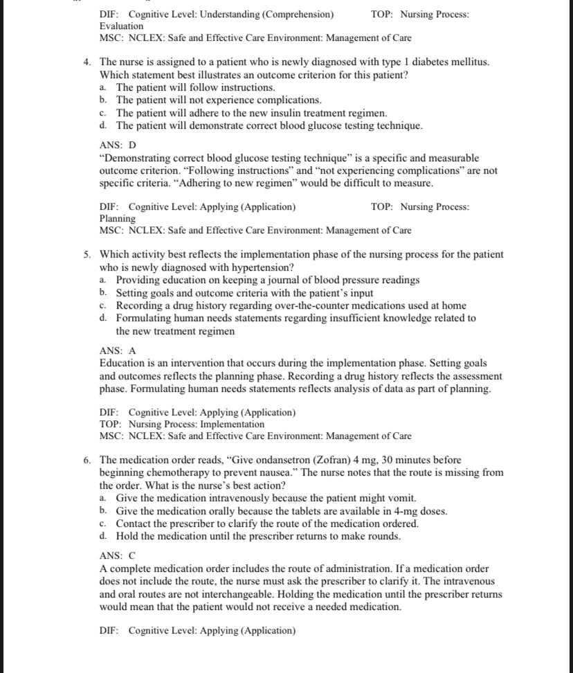
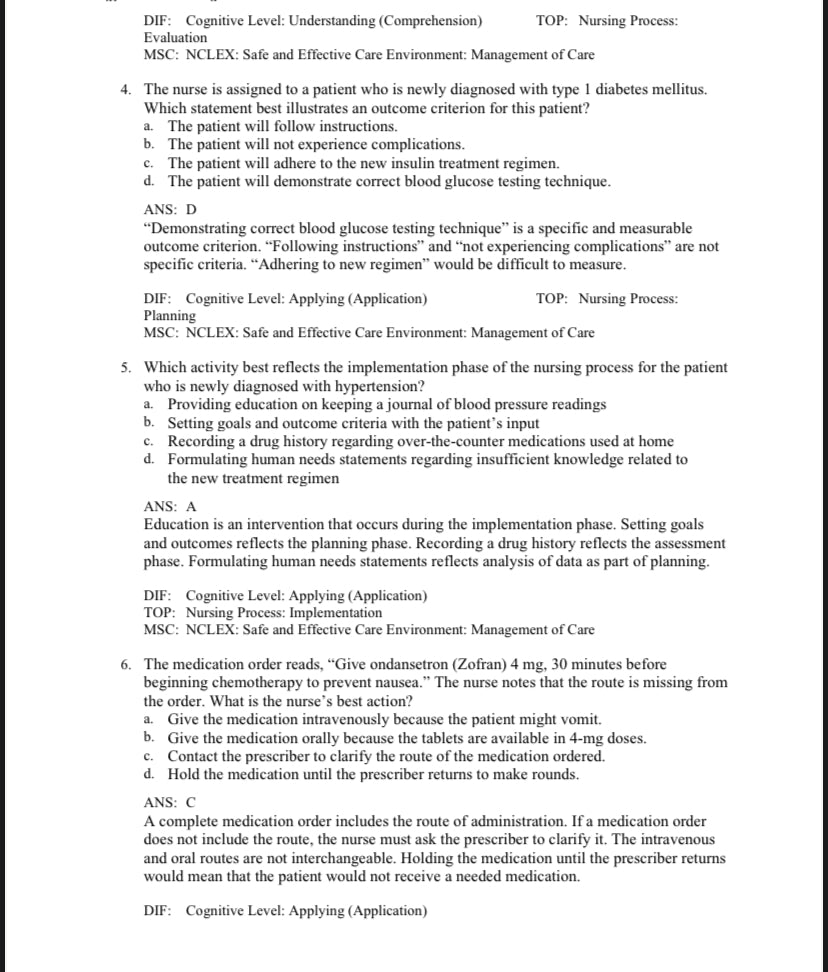
This test bank complements Pharmacology and the Nursing Process, 9th Edition by Linda Lane Lilley, Shelly Rainforth Collins, and Julie S. Snyder.

It provides a comprehensive set of practice questions to help nursing students master concepts related to pharmacology and the nursing process.

Key Features:

  • Aligned with the 9th edition content
  • Covers drug classifications, mechanisms of action, therapeutic uses, and nursing interventions
  • Ideal for exam preparation and clinical knowledge reinforcement
  • Suitable for nursing students and healthcare professionals

 

View full details

What's Inside?

Comprehensive Chapter Coverage

Questions for every chapter of the textbook or subject area, ensuring no topic is left unexplored.

Diverse Question Types

Multiple-choice questions (MCQs), true/false, short answer, matching, and essay questions tailored to mirror real exams.

Verified Answers

100% accurate and verified solutions for all questions to boost confidence and understanding.

Why choose us

Trusted by thousands — secure, fast, and backed by our satisfaction guarantee.

Satisfaction Guarantee

Full refund or replacement if materials do not match the product description — 7-day guarantee.

Fast & Instant Delivery

Most purchases are available for instant download right after payment — get studying immediately.

Secure & Private

Encrypted checkout and discreet delivery. We never share your personal info with third parties.

24/7 Customer Support

Questions before or after purchase? Chat or email us anytime — quick, helpful support.

All sales are subject to our refund policy.

Have a Question? We’ve Got the Answer!

Frequently Asked Questions

How Soon Can I Access My Test Bank?

You will have immediate access to your test bank as soon as your payment is processed. Once the transaction is complete, you can instantly download your materials in PDF format. No delays, no waiting—get started on your test preparation right away! 🚀

Are all chapters included, and are there questions for each chapter?

Yes, our comprehensive package includes test questions for every chapter, providing you with a thorough study resource.

Are These Materials Reliable and Accurate?

Absolutely! Our test bank materials are carefully curated and reviewed by experienced professionals to ensure the highest level of accuracy and reliability. Every question comes with 100% verified answers, so you can trust the content to support your learning and exam preparation. Our commitment to quality ensures that you receive resources that meet the latest academic and testing standards. Prepare with confidence—our materials are designed to help you succeed!

Are answers to the questions verified?

Yes, all answers provided in the Test Bank are thoroughly verified to ensure accuracy.

Can I Use These Documents on My Phone or Tablet?

Absolutely! The Test Bank is in PDF format, making it compatible with all devices and browsers for your convenience. Whether you’re at home, on the go, or in a study session, our materials are designed for convenience and portability. 📱💻