





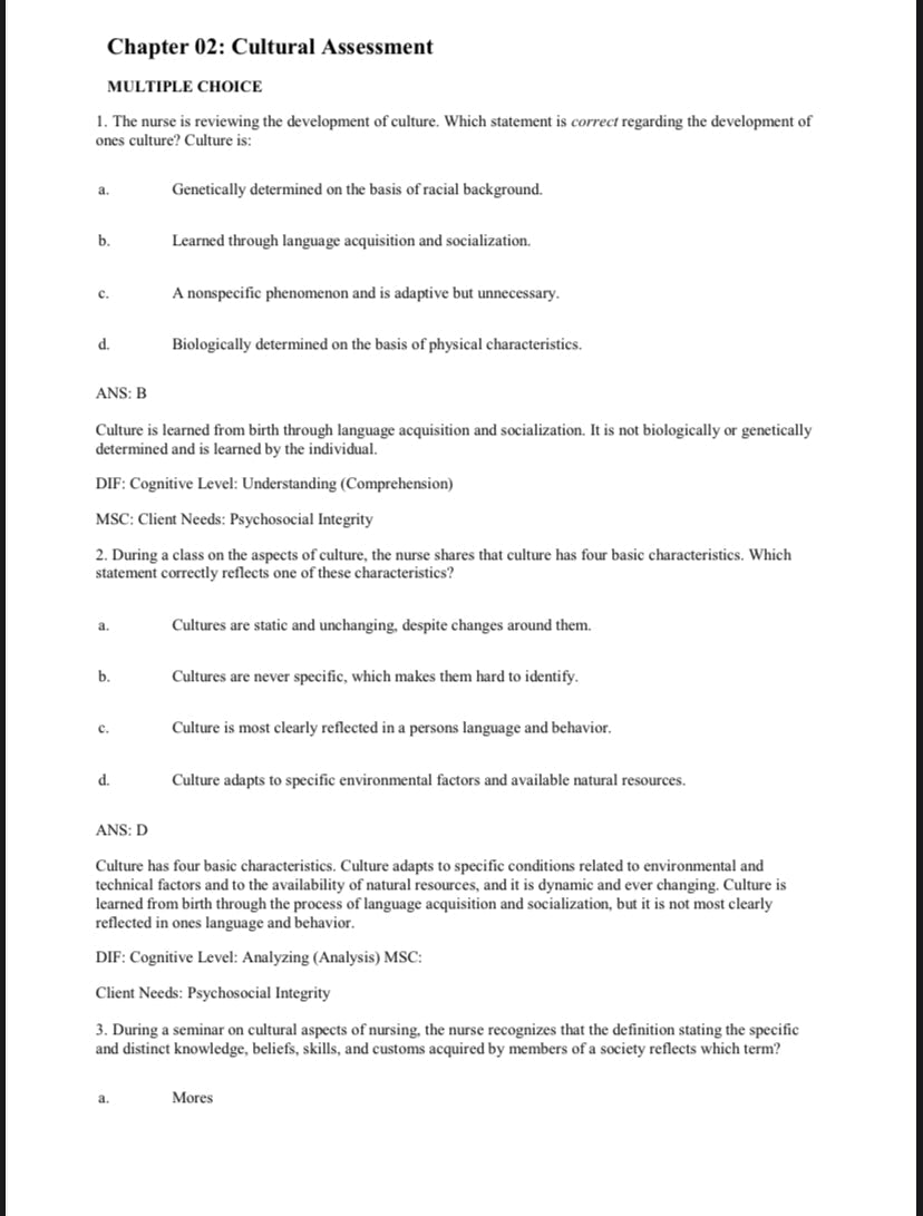
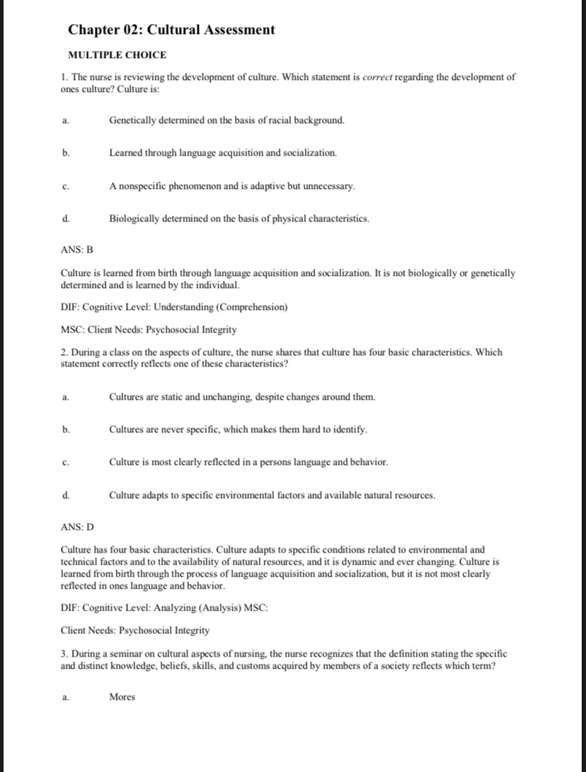
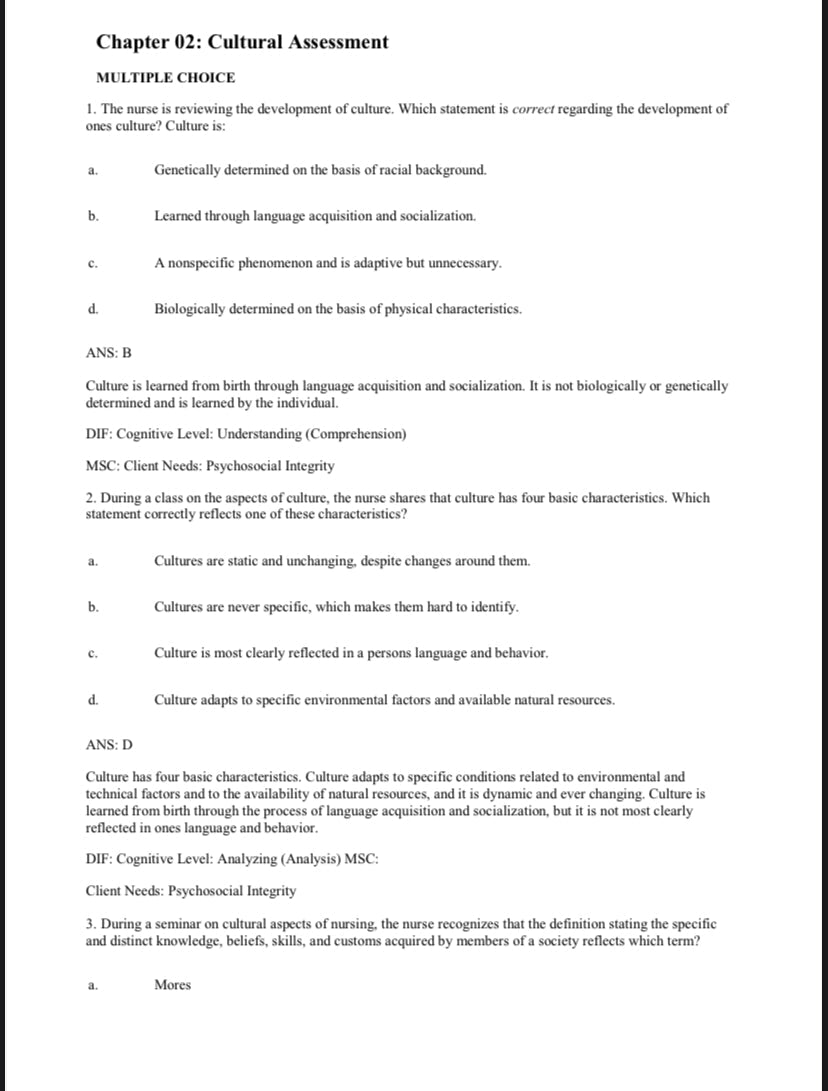
What's Inside?
Comprehensive Chapter Coverage
Questions for every chapter of the textbook or subject area, ensuring no topic is left unexplored.
Diverse Question Types
Multiple-choice questions (MCQs), true/false, short answer, matching, and essay questions tailored to mirror real exams.
Verified Answers
100% accurate and verified solutions for all questions to boost confidence and understanding.
Why choose us
Trusted by thousands — secure, fast, and backed by our satisfaction guarantee.
Satisfaction Guarantee
Full refund or replacement if materials do not match the product description — 7-day guarantee.
Fast & Instant Delivery
Most purchases are available for instant download right after payment — get studying immediately.
Secure & Private
Encrypted checkout and discreet delivery. We never share your personal info with third parties.
24/7 Customer Support
Questions before or after purchase? Chat or email us anytime — quick, helpful support.
All sales are subject to our refund policy.